The objective of this study was to identify statutory changes in throwing sports occurred in 2014 and how they interfere with the Brazilian athletes' performance. The research is characterized as descriptive, documentary and quantitative.... more
Topic 1: Contingency management Contingency management (CM) is a behavioral treatment approach used in clinical psychology that focuses on reinforcing desired behaviors. The basic principle of CM is that specific behaviors are followed by... more
Ecosystem engineers have been widely studied for terrestrial systems, but global trends in research encompassing the range of taxa and functions have not previously been synthesised. We reviewed contemporary understanding of engineer... more
Take-down policy If you believe that this document breaches copyright please contact us providing details, and we will remove access to the work immediately and investigate your claim.
Soil invertebrates (i.e., soil fauna) are important drivers of many key processes in soils including soil aggregate formation, water retention, and soil organic matter transformation. Many soil fauna groups directly or indirectly... more
Soil biota (the living organisms in soil) plays an important role in soil development and soil formation. They are the most important component of soil organic matter decomposition and behave efficiently in the development and formation... more
49 Soil organic matter (SOM) is key to maintaining soil fertility, mitigating climate change, 50 combatting land degradation, and conserving aboveand below-ground biodiversity and 51 associated soil processes and ecosystem services. In... more
Arterial streets have traditionally formed the focus for a variety of urban roles Arterial streets often have problems reconciling through traffic flow with other urban activities 'Streets are for people' Scope Arterial streets are here... more
A global database and 'state of the field' review of research into ecosystem engineering by land animals.
The objective of this study was to identify statutory changes in throwing sports occurred in 2014 and how they interfere with the Brazilian athletes' performance. The research is characterized as descriptive, documentary and quantitative.... more
One of the most evident achievements of bioinformatics is the development of methods that transfer biological knowledge from characterised proteins to uncharacterised sequences. This mode of protein function assignment is mostly based on... more
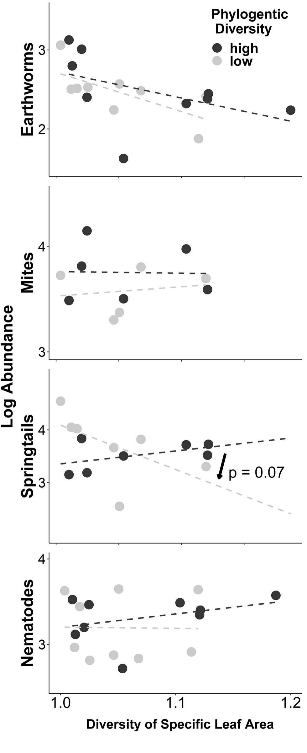
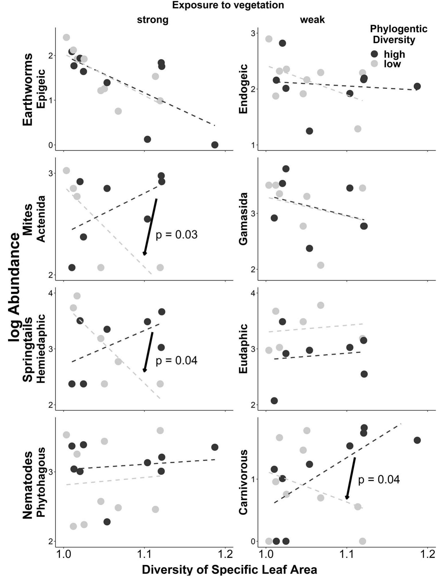
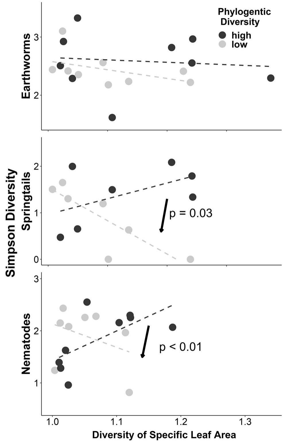
Phylogenetically closely related plant species often share similar trait states (phylogenetic signal), but local assembly may favor dissimilar relatives and thereby decouple the diversity of a trait from the diversity of phylogenetic... more
Indonesia is a country with the third largest biodiversity after Brazil and Madagascar. Of the about 325.530 species of flora and fauna globally, an estimated 25% of the world's species are found in Indonesia. Macrofauna, a land animal... more
Roger (5), Philip Ineson ("), O.W. Heal (7) a n d Shivcharn Dhillion (')
Changes in zooplankton community structure and function were analyzed in 24 lakes covering a wide salinity gradient (from 0.5 to 115 g l-1) in a semiarid region in northwest China. We hypothesized that species richness (S), species... more
The main aim of this investigation was to verify the relationship of the variables measured during a 3-minute all-out test with aerobic (i.e., peak oxygen uptake [V _ O 2 peak] and intensity corresponding to the lactate minimum [LMI]) and... more
organic matter (Eaton, Barbercheck, Buford, & Smith, 2004). While ants have an important role as material flow in soils (Wagner, Jones, & Gordon, 2004) and contribute to improving soil aggregation and aeration (Lafleur, Hooper-Bùi, Mumma,... more
Collembola have been proposed for several decades as a good model organisms to survey soil biodiversity; but most of the studies focused on taxonomic endpoints. The main objectives of this study are to compare the effects of the different... more
This book argues that Sellars’ theory of intentionality can be understood as an advancement of a transcendental philosophical approach. It shows how Sellars develops his theory of intentionality through his engagement with the theoretical... more
Soil biota (the living organisms in soil) plays an important role in soil development and soil formation. They are the most important component of soil organic matter decomposition and behave efficiently in the development and formation... more
van Leeuwen et al. Soil Biodiversity management. In this way we may make a valuable step in our attempts to optimize the multiple soil functions in agricultural landscapes, and hence the multifaceted role of soils to deliver a bundle of... more
Invertebrates play important functional roles in soils, affecting several essential ecosystem services. However, their populations are sensitive to disturbance, and are therefore often used as bioindicators of soil quality. Conservation... more
This paper is the English translation of: «Aperçu des avancées dans le domaine de la biologie des sols forestiers »-Revue forestièrefrançaise,4
Soil biota are essential for many soil processes and functions, yet there is an increasing pressure on soil biodiversity and soil degradation remains a pertinent issue. Therefore, the sustainable management of soils requires soil... more
L ijbert B russaard , D uur K. A anen , M aria J. I. B riones , T hibaud D ecaëns , G erlinde B. D e D eyn , T om M. F ayle , S amuel W. J ames, and T ânia N obre Soil Ecology and Ecosystem Services. First Edition. Edited by Diana H. Wall... more
L ijbert B russaard , D uur K. A anen , M aria J. I. B riones , T hibaud D ecaëns , G erlinde B. D e D eyn , T om M. F ayle , S amuel W. J ames, and T ânia N obre Soil Ecology and Ecosystem Services. First Edition. Edited by Diana H. Wall... more
Syndromal classification is a well-developed diagnostic system but has failed to deliver on its promise of the identification of functional pathological processes. Functional analysis is tightly connected to treatment but has failed to... more
Syndromal classification is a well-developed diagnostic system but has failed to deliver on its promise of the identification of functional pathological processes. Functional analysis is tightly connected to treatment but has failed to... more
Soils are integral to agricultural productivity, biodiversity, and the maintenance of ecosystem services. However, soil ecosystem research depends on foundational biological knowledge that is often missing. In this review, we present a... more
1. Abstract Annelid coenoses in wet soils reveal specific characteristics in relation to the pre- vailing complex of abiotic and biotic factors effective in these soils. Especially, the presence or lack of oxygen in the topsoil is of... more
The composition of the annelid coenosis (earthworms, enchytraeids and other microannelids) of 54 soil monitoring sites in northwest Germany was investigated. The monitoring sites cover all important soils, substrates and management types.... more
The composition of the annelid coenosis (earthworms, enchytraeids and other microannelids) of 54 soil monitoring sites in northwest Germany was investigated. The monitoring sites cover all important soils, substrates and management types.... more
Terrestrial ecologists and soil modelers have traditionally portrayed the inhabitants of soil as a black box labeled as “soil fauna” or “decomposers or detritivores” assuming that they just merely recycle the deposited dead plant... more
Syndromal classification is a well-developed diagnostic system but has failed to deliver on its promise of the identification of functional pathological processes. Functional analysis is tightly connected to treatment but has failed to... more
The purpose of this paper is to describe the use of therapeutic paradox within the contextual-behavioral treatment called Acceptance and Commitment Therapy. Emphasis is on the difference between inherent and constructed paradox, expanding... more
Syndromal classification is a well-developed diagnostic system but has failed to deliver on its promise of the identification of functional pathological processes. Functional analysis is tightly connected to treatment but has failed to... more

![Figure 2. Microscopic representation of bacteria biodiversity in soil environment: (a) a ton of microscopic bacteria may be active in each acre of soil and (b) Bacteria dot the surface of strands of fungal hyphae [The images were used by the authors with the copyright permission of Soil and Water Conservation Society] Soil organisms provide many supports in the trasformation and development of soil physical and biological properties. They are exclusively part of soil formation and decomposition processes of diverse plant and animal materials (Janney, 1994). Bacteria contribute to the carbon cycle by fixation (photosynthesis) and decomposition of organic materials and hence might improve soil colour and soil quality (Darbyshire, 1994; FAO, 2005). Their activities might also help to improve the strength of soil particles and soil resilience against soil runoff and soil erosion. Fungi also help in binding soil particles and an increase water infiltration and soil water holding capacity (Alfred, 2001; Ritz et al., 2004). Generally, a ton of microscopic bacteria may be active in each acre of soil as typically indicated in Figure 2 (NRCS: www.nrcs.usda.gov720 x 475 Search by image). These active organisms fall into four functional groups - decomposers, mutualists (form partnership with plants - nitrogen-fixing bacteria), pathogens and lithotrophs or chemoautotrophs; both played a vital role in soil nutrient cycling (Coleman et al., 1983; Ingham, 2000).](https://figures.academia-assets.com/111434559/figure_002.jpg)





































