Academia.eduAcademia.edu

Convex analysis and optimization

description34 papers
group841 followers
lightbulbAbout this topic
Convex analysis and optimization is a branch of mathematics that studies the properties of convex sets and functions, focusing on optimization problems where the objective function is convex. It involves techniques for finding minima or maxima of convex functions, ensuring global optimality due to the nature of convexity.
lightbulbAbout this topic
Convex analysis and optimization is a branch of mathematics that studies the properties of convex sets and functions, focusing on optimization problems where the objective function is convex. It involves techniques for finding minima or maxima of convex functions, ensuring global optimality due to the nature of convexity.

Key research themes

1. How can online and incremental approaches improve convex optimization in complex or data-driven environments?

This theme focuses on online convex optimization methods designed for settings where the model or environment is initially unknown or evolves over time, necessitating algorithms that learn from partial, noisy, or streaming data. Such approaches enable robust optimization despite uncertainty and incomplete information, crucial for modern machine learning, control, and signal processing applications.

Key finding: The manuscript establishes the framework of online convex optimization as a process that adapts sequentially to observed data, leveraging regret minimization and Bregman divergences to project iterates onto convex sets. It... Read more
Key finding: This work extends convex optimization methods via iterative schemes (e.g., Mann, Ishikawa, and new iterative mappings) in Banach spaces, proving convergence results for fixed points of nonlinear operators. It demonstrates... Read more
Key finding: The authors develop globally convergent Newton-Conjugate Gradient methods adapted to strictly convex optimization problems with noisy, stochastic gradients and Hessian information. They relax deterministic accuracy... Read more

2. What are the advancements in convex analysis related to generalized convex functions and their inequalities, and how do these extensions enable tighter bounds and applications?

This theme explores the expansion of convex function theory to generalized settings such as multiplicative convexity, p-convexity, and convex functions of multiple variables through novel judgment criteria and inequalities (e.g., Hermite-Hadamard, Young's and Fejér-type). These developments provide analytical tools for deriving sharper inequalities, refining optimization bounds, and broadening the applicability of convex analysis in mathematical inequalities, functional analysis, and economic modeling.

Key finding: The paper establishes that the convexity of multivariate functions can be efficiently characterized through convexity tests on one-dimensional slices, transforming multivariate convexity judgements into verifying convexity of... Read more
Key finding: This paper introduces analogues of Hermite-Hadamard inequalities tailored for multiplicatively convex functions, which are generalizations of classical convex functions defined via multiplicative rather than additive... Read more
Key finding: The work defines the notion of p-convexity using non-Newtonian calculus concepts where derivatives and integrals are generated by α-generators, and derives Hermite-Hadamard-Fejer inequalities for these generalized convex... Read more
Key finding: The paper extends classical Young's inequality to the setting of nondecreasing functions and absolutely continuous measures, removing continuity restrictions present in the traditional inequality and providing weighted... Read more
Key finding: This paper develops new Fejér-type inequalities for convex functions, leveraging symmetrically weighted integrals and monotonicity properties of weighting functions. It includes improvements of Hermite-Hadamard inequalities... Read more

3. How can convex quadratic optimization problems with indicator variables be convexified and efficiently solved?

This theme deals with the convex hull characterization of mixed-integer quadratic optimization problems that include both convex quadratic objectives and indicator (0-1) variables under arbitrary constraints. Understanding the structure and formulating strong convex relaxations are fundamental to solving these NP-hard problems effectively, which appear frequently in statistics, portfolio optimization, and control applications.

Key finding: The authors derive an extended formulation describing the convex hull of sets defined by convex quadratic objectives and indicator variables. They prove that this convex hull can be represented using a positive semidefinite... Read more
Key finding: This paper tackles minimax fractional programs where the maximum of finite ratios of convex functions is minimized under convex constraints. The authors identify that classical Dinkelbach-type algorithms fail as parametric... Read more

All papers in Convex analysis and optimization

For variational problems of the form we propose a dual method which decouples the difficulties relative to the functionals f and g from the possible ill-conditioning effects of the linear operator A. The approach is based on the use of an... more
by Zoltan Retkes and 
1 more
The well-known Jensen inequality and Hermite-Hadamard inequality were extended using iterated integrals by Z. Retkes in 2008 and then by P. Kórus in 2019. In this paper, we consider analytical convex (concave) functions in order to obtain... more
This paper presents several novel theoretical results regarding the recovery of a low-rank matrix from just a few measurements consisting of linear combinations of the matrix entries. We show that properly constrained nuclear-norm... more
Contenido del curso de Analisis Funcional Semestre 2025-1 UNFV.
We explore the error of the weighted quadrature formulae and give the sufficient and necessary conditions for this type of quadrature formula to have Schur-convexity property. Some special cases of the weigted quadrature formulae are... more
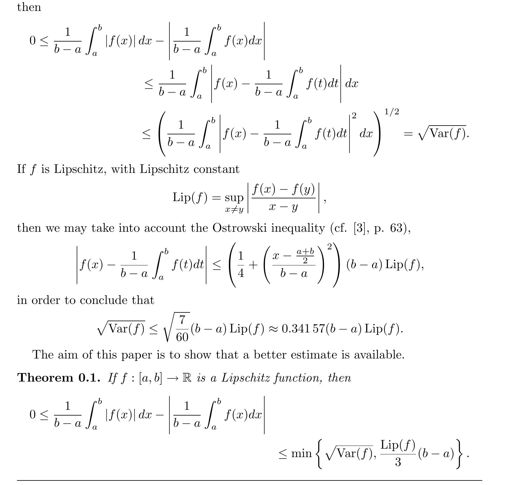
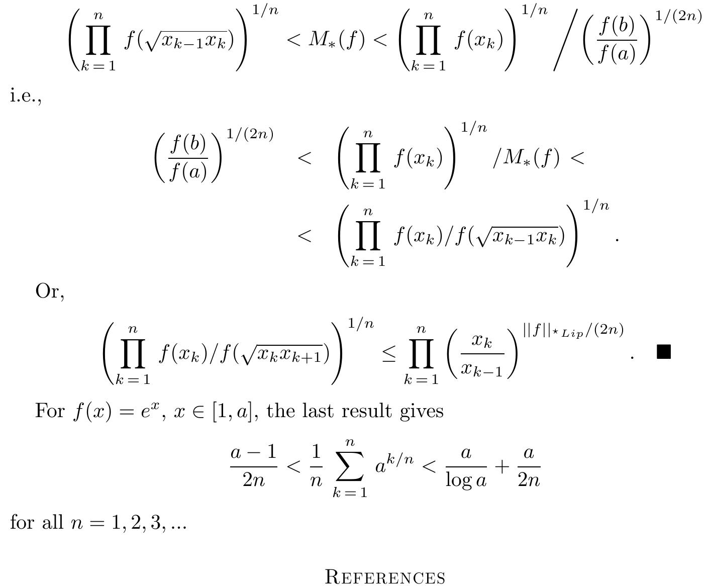
In this article we find some estimations concerning convex functions in inequalities like Hermite-Hadamard inequality or Fejér inequality. Also we prove a generalization of the Hammer-Bullen inequality.
Matrix Direct Learning (MDL) is introduced as a novel paradigm for training artificial intelligence models by directly solving matrix equations rather than using iterative gradient-based optimization, representing a potential fundamental... more
This study focuses on construction of a new explicit iterative scheme for approximation of zeros of nonlinear mappings in reflexive real Banach space with uniformly Gateaux differentiable norm. In the study, strong convergence of the... more
Concave functions on intervals of real numbers are used in the analysis of "cake eating problems". In this note we present the proof of the existence of both left-hand and right hand derivatives for concave functions defined on open... more
We develop a parallel theory to that concerning the concept of integral mean value of a function, by replacing the additive framework with a multiplicative one. Particularly, we prove results which are multiplicative analogues of the... more
Silabus del curso de Seminario de Investigación Operativa: Optimizacion no lineal en Rn.
Proyecto de tesis para obtener el grado academico de magister en matematica aplicada. Escuela de posgrado UNMSM, Octubre del 2013.
The aim of this note is to reduce a number of assumptions in the recent paper of W. Bryc by showing that some of them imply the others and to give alternative, simpler proofs of some of Bryc's results.
This study focuses on MATLAB code programs of the entire stages of solving Stochastic Transportation Linear Programming Problems with Fuzzy Uncertainty Information on Probability Distribution Space (STLPPFI) with its algorithm outlines. A... more
The purpose of this paper is twofold. The first is to give a brief account of the results preceding the main results from [14] and [15]. The second is to give generalizations and improvements of these results.
is remembered today as one of the key architects of the Italian school of algebraic geometry in the first half of the twentieth century. (For a brief discussion of some of his most important contributions to algebraic geometry, see the... more
The use of general descriptive names, registered names, trademarks, etc. in this publication does not imply, even in the absence of a specific statement, that such names are exempt from the relevant protective laws and regulations and... more
We prove a formula concerning the precision in the triangle inequality. 2000 Mathematics Subject Classification. 26D10; 26D15; 26A24; 26A45.
A geometric approach to the improvement of Blundon's inequalites given in [11] is presented. If φ = min{|A − B|,|B −C|,|C − A|}, then we proved the inequality − cos φ cos ION cos φ , where O is the circumcenter, I is the incenter, and N... more
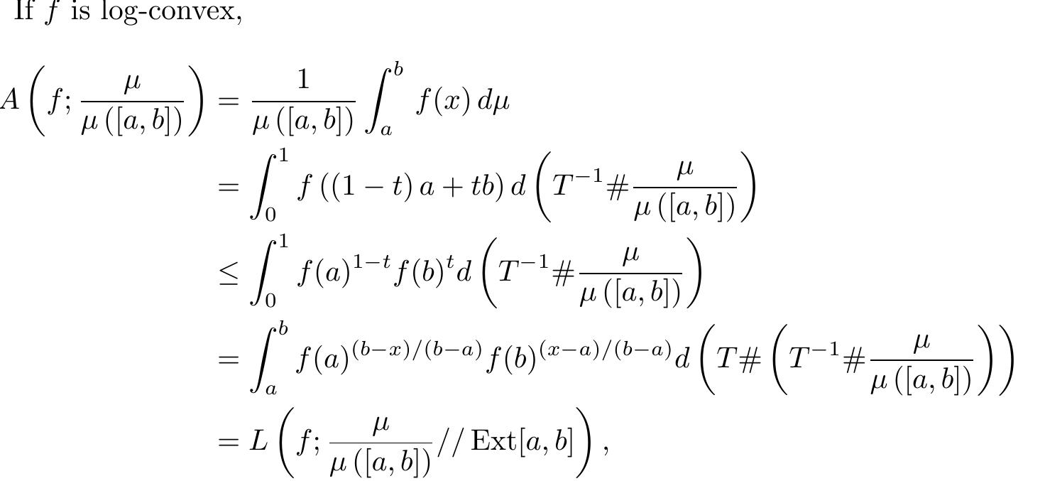
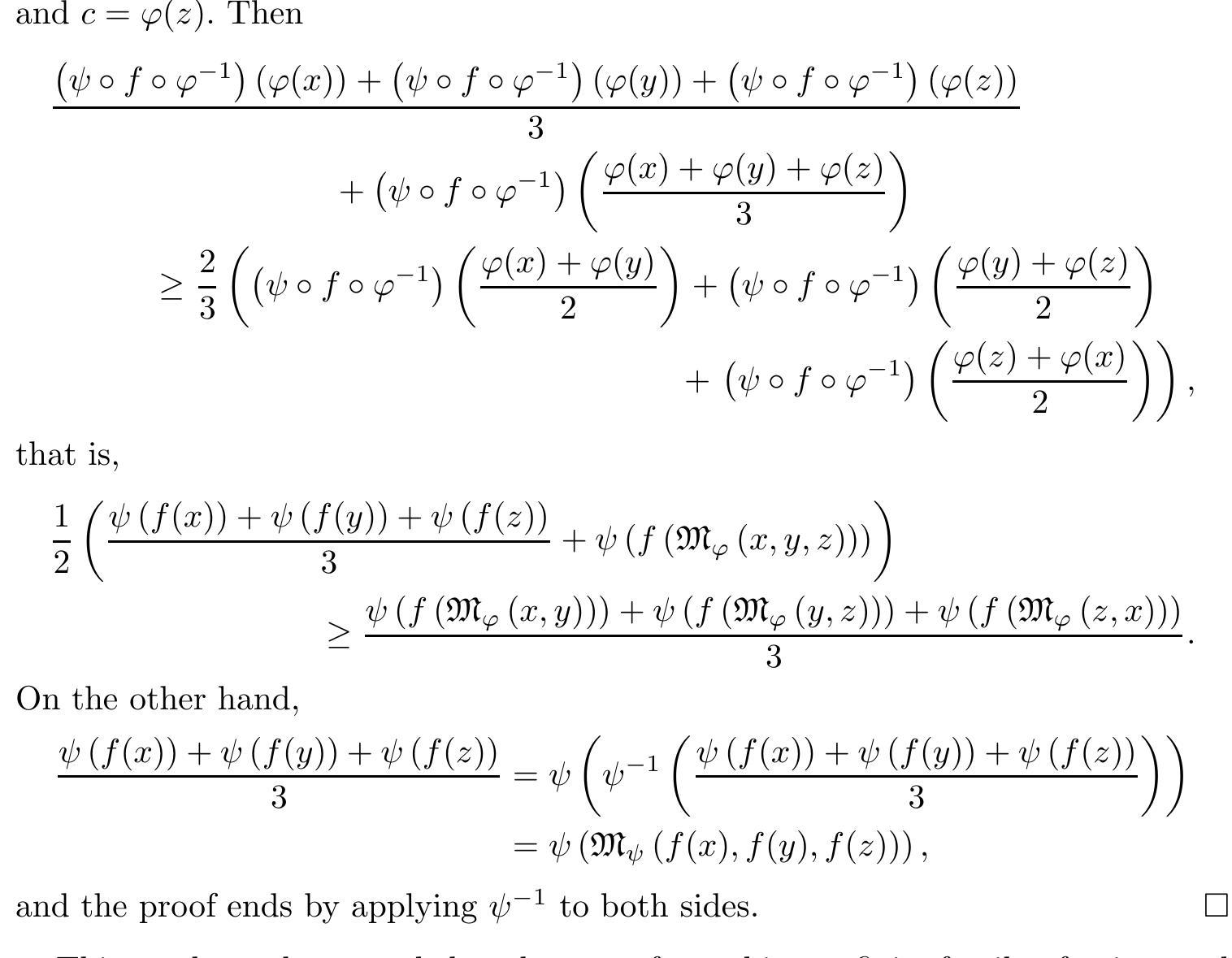
We discuss the existence of a strengthening of Hermite-Hadamard inequality in the case of log-convex functions. Unlike the classical case, which belongs to the …eld of linear functional analysis, this analogue involves nonlinear means... more
We develop a new framework for the Jensen-type inequalities that allows us to deal with functions not necessarily convex and Borel measures not necessarily positive.
The aim of this paper is to show that Jensen's Inequality and an extension of Chebyshev's Inequality complement one another, so that they both can be formulated in a pairing form, including a second inequality, that provides an estimate... more
The article aims to answer whether Gottlob Frege's letter to Adolph Mayer, dated 8 July 1896, could help German mathematicians get acquainted with Giuseppe Peano's mathematical work, including his mathematical logic. It is the fi rst... more
Some new oscillation criteria are given for second-order nonlinear differential equations with variable coefficients. Our results generalize and extend some of the well-known results in the literatures. Some examples are considered to... more
Most of the inequalities that we encounter in mathematics are based on a monotonicity or convexity argument. The functions that are constructed during a proof are monotone or convex (concave) throughout their domains. However, there are... more
Jensen's inequality induces different forms of functionals which enables refinements for many classic inequalities ([5]). Several refinements of Jensen's inequalities were given in [4]. In this paper we refine Jensen's inequality by... more
Let E be a 2 uniformly smooth and convex real Banach space and let a mapping A: E → E∗ be lipschitz and strongly monotone such that A−1(0)≠∅. For an arbitrary ({x1}, {y1})∈E, we define the sequences {xn} and {yn} byyn = xn − θnJ−1(Axn),... more
Institute of Mathematics of the Czech Academy of Sciences provides access to digitized documents strictly for personal use. Each copy of any part of this document must contain these Terms of use.
We consider the nonlinear dynamic system x Δ t a t g y t , y Δ t −f t, x σ t. We establish some necessary and sufficient conditions for the existence of oscillatory and nonoscillatory solutions with special asymptotic properties for the... more
Dopo aver frequentato i primi anni di scuola elementare a Spinetta, insieme con la famiglia Giuseppe si trasferisce a Cuneo, dove continua gli studi. I Peano risiedono in un alloggio in località Lazzaretto, oggi nota come Baluardi Gesso.
The use of general descriptive names, registered names, trademarks, etc. in this publication does not imply, even in the absence of a specific statement, that such names are exempt from the relevant protective laws and regulations and... more
Let E be a 2 uniformly smooth and convex real Banach space and let a mapping A : E → E∗ be lipschitz and strongly monotone such that A− 1(0) 6= ∅. For an arbitrary ({x1}, {y1}) ∈ E, we define the sequences {xn} and {yn} by ( yxn +1=... more
Softcover reprint of the hardcover 1st edition 2000 All rights reserved. This work may not be translated or copied in whole or in part without the written permission of the publisher (Birkhiiuser Boston, clo Springer-Verlag New York,... more
In this paper the asymptotic behavior for all nonoscillatory solutions of third order nonlinear neutral differential equations have been investigated, where some necessary and sufficient conditions are obtained to guarantee the... more
Some new oscillation criteria are given for second-order nonlinear differential equations with variable coefficients. Our results generalize and extend some of the well-known results in the literatures. Some examples are considered to... more
Some new oscillation criteria are given for second-order nonlinear differential equations with variable coefficients. Our results generalize and extend some of the well-known results in the literatures. Some examples are considered to... more
The first part of the paper proves the conjectures on an inequalities in the Schatten p-quasi-norm of matrices. The second part of the paper uses the inequalities for proving a sufficient condition when the Schatten p-quasi-norm... more
In this paper we discuss an analogue of the Hermite-Hadamard inequality for multiplicatively convex functions.
Grassmann’s powerful but largely undefined approach to affine and projective geometries has roots in Möbius’ barycentric calculus [1]. In his appraisal of the former’s work, Peano showed explicitly the relation of barycentric coordinates... more
The aim of this paper is to study G. Fano’s (1871-1952) personal collection of volumes and offprints, currently preserved in the Special Mathematical Library “G. Peano” of the University of Turin. This type of investigation allows to... more
Oscillation criteria obtained by Kusano and Onose (1973) and by Belohorec (1969) are extended to second-order sublinear impulsive differential equations of Emden-Fowler... more
Detecting the validity of an assumed multivariate linear regression is an important part in a serious regression analysis before the fitted model is further applied in the practice. In this work an asymptotic method for testing the... more
In this note we describe some results concerning upper and lower bounds for the Jensen functional. We use several known and new results to shed light on the concepts of superterzatic functions.
In this note we describe some results concerning upper and lower bounds for the Jensen functional. We use several known and new results to shed light on the concepts of superterzatic functions.
In this note we describe some results concerning upper and lower bounds for the Jensen functional. We use several known and new results to shed light on the concept of a strongly convex function.
Popoviciu's inequality is extended to the framework of h-convexity and also to convexity with respect to a pair of quasi-arithmetic means. Several applications are included.
In this note we give a recipe which describes upper and lower bounds for the Jensen functional under superquadraticity conditions. Some results involve the Chebychev functional. We give a more general definition of these functionals and... more
We study the phase synchronization problem with noisy measurements Y = z * z * H + σW ∈ C n×n , where z * is an n-dimensional complex unit-modulus vector and W is a complex-valued Gaussian random matrix. It is assumed that each entry Y jk... more
We study necessary and sufficient conditions for the oscillation of the third-order nonlinear ordinary differential equation with damping term and deviating argumentx‴(t)+q(t)x′(t)+r(t)f(x(φ(t)))=0. Motivated by the work of Kiguradze... more
Download research papers for free!